论文推荐│北部湾商业捕捞无脊椎动物中潜在有毒元素污染的评价

海洋污染问题日益严峻,其中潜在有毒元素(PTEs)因其生物累积性、毒性和持久性,对海洋生物和人类健康构成了严重威胁。北部湾位于中国南海西北部,拥有丰富的生物多样性和优越的渔业条件,其海洋生物的健康状况和生态安全备受关注。然而,关于北部湾海洋无脊椎动物中多种PTEs的污染情况尚不明确。
beat365手机版官网入口水域生态学组于2021年在北部湾的8个采样点共采集了89个无脊椎动物样本,经过样本处理和化学分析,测定了9种元素(砷、镉、铬、铜、锰、镍、铅和锌)含量。结果显示,除砷外,其他PTEs在无脊椎动物中的浓度均低于国家食品安全标准。然而,砷和铬的浓度与营养级呈显著正相关,表明这两种金属在食物链中存在生物富集现象,其营养级富集因子(TMF)均大于1,提示砷和铬在北部湾无脊椎动物食物网中具有显著的生物富集潜力。进一步的健康风险评估显示,砷的每日摄入量(EDI)和目标危害商(THQ)在贝类中最高,且贝类的总危害指数(HI)大于1,表明长期食用受污染的贝类可能增加人类健康风险,尤其是砷暴露可能导致的不良健康影响。此外,砷、铬和镍的致癌风险(TR)在某些无脊椎动物类别中超过了可接受水平,提示这些PTEs的长期暴露可能对人体健康构成潜在致癌风险.
该研究系统评估了北部湾商业捕捞无脊椎动物中PTEs的污染状况,为北部湾海洋生态保护和渔业资源管理提供了重要科学依据。研究结果提醒相关部门应加强对海洋无脊椎动物中PTEs污染的监测和管理,以保障海洋生态安全和人类健康.
该成果发表在Mar. Environ. Res. 202(2024), 106744。
文章链接:https://doi.org/10.1016/j.marenvres.2024.106744

北部湾无脊椎动物PTE浓度(mg kg-1干重)(*:P < 0.05,**:P < 0.01,***:P < 0.001)
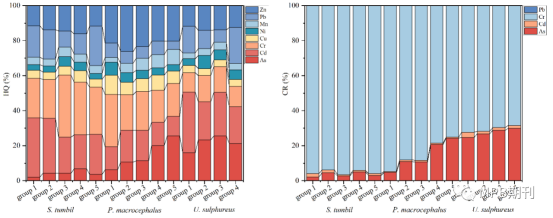
论文推荐│南海北部湾三种优势鱼类体内潜在有毒元素含量及健康风险评价

潜在有毒元素(PTEs)由于其潜在毒性、持久性和生物积累性等特征,是全球重点关注的环境污染物。随着人类活动加剧,海洋PTEs污染日趋严重,环境中的PTEs被生物吸收并通过食物链进行生物积累和放大,最终威胁人类健康。北部湾渔业资源丰富,经济鱼类达30余种,了解此海域优势鱼类PTEs污染状况可为人们提供更加科学合理的饮食建议。
beat365手机版官网入口水域生态学组于2022年4月对北部湾海域3种优势鱼类(多齿蛇鲻、大头白姑鱼和黄带绯鲤)进行采集并分析了其体内碳氮稳定同位素和8种PTEs(砷、镉、铬、铜、锰、镍、铅和锌)含量,以探究其PTEs生物富集特征并评估人类摄食健康风险。结果显示,铬、锰和铅在鱼体内呈潜在的生物放大效应,而铜和锌通过食物链被生物稀释。黄带绯鲤砷含量超出了中国农业农村部和联合国粮农组织的标准阈值。非致癌健康风险评估表明成人食用3种鱼对健康影响不显著,但儿童食用可能导致不可接受的风险。致癌健康风险评估表明成人和儿童食用3种鱼均可能导致不可接受的风险,导致癌症风险的主要元素是砷和铬。因此,砷和铬在海洋生物中的污染水平及其引起的高致癌风险需要加强关注与监测。
该研究全面评估了北部湾三种优势鱼类PTEs污染水平,评估了其对成人和儿童摄食的潜在健康风险,筛选出主要致癌元素。研究结果可为人们提供更合理的饮食建议,为有关部门加强海洋环境保护提供科学依据。
该成果发表在Mar. Pollut. Bull. 196(2023), 115566。
文章链接:https://www.sciencedirect.com/science/article/pii/S0025326X23010019?via%3Dihub=

3种鱼类体内PTEs对非致癌健康风险(HQ)和致癌健康风险(CR)的贡献
该系列研究均受国家自然科学基金区域创新发展联合基金项目——北部湾渔业资源结构与功能演变对捕捞与环境胁迫的响应机制(项目批准号:U20A2087)和广西重点研发计划项目——北部湾棕斑兔头鲀人工繁育与规模化养殖技术研究(项目批准号:桂科AB22035050)基金资助。
(一审:张荣康;二审:孙云龙;三审:黄亮亮)